안녕하세요! 연세대학교 경영학과 재학 중인, 어제도 "이건 지금 아니면 못 사"라는 문구에 홀려 롤 한정판 스킨을 풀매수하고 통장 잔고에 한파가 몰아친 [게이머의 비즈니스 스터디로그]입니다.

12월 25일, 평소엔 거들떠보지도 않던 빨간색 산타복 스킨이 갑자기 천상의 미를 자랑하는 것처럼 보입니다. "남은 시간: 23시간 59분"이라는 빨간색 카운트다운을 보면 손가락이 떨리고 심장이 뜁니다.
냉정하게 말해볼까요? 당신은 그 스킨이 예뻐서 산 게 아닙니다. 내일이면 이 기회를 영영 잃을지도 모른다는 '공포'에 굴복한 것이죠. 마케팅 설계자들이 당신의 뇌 속에 설치한 '크리스마스의 덫', 그 치밀한 심리 전략을 해부해 드립니다.
당신의 이성을 마비시키는 '겨울 한정판'의 3단계 공정
1. 희소성 원칙과 FOMO: "기회비용이 생존을 위협할 때"
행동경제학의 거두 로버트 치알디니는 '희소성의 원칙(Scarcity Principle)'을 강조했습니다. 대상이 희귀해질수록 인간은 그것을 더 가치 있게 느낍니다.
손실 회피의 심리학: 게임사들이 '크리스마스 한정' 딱지를 붙이는 순간, 당신의 뇌는 스킨의 가치를 계산하는 게 아니라 '이 기회를 잃었을 때의 손실'을 계산합니다. 이것이 바로 FOMO(Fear Of Missing Out)입니다.
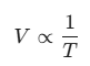
비즈니스 수식: 상품의 주관적 가치(V)는 획득 가능 시간(T)에 반비례합니다.

T가 0에 수렴할수록, 당신이 느끼는 가치는 무한대로 발산합니다. 1년에 한 번 오는 버스는 타야만 할 것 같은 기분, 바로 그겁니다.

2. 엠비언트 마케팅: "당신의 뇌를 '지름신' 모드로 리셋하기"
왜 굳이 맵에 눈을 내리고 캐럴 BGM을 깔까요? 이건 단순한 서비스가 아니라 '엠비언트 마케팅(Ambient Marketing)'의 정수입니다.
맥락적 점화(Contextual Priming): 시각적, 청각적 자극을 통해 당신의 잠재의식을 '연말 소비 모드'로 전환합니다. 백화점에서 크리스마스 음악을 틀면 매출이 오르는 것과 같은 이치죠.
현실 공략: 분위기에 취하는 순간, 뇌의 전두엽(이성)은 힘을 잃고 변연계(감정)가 주도권을 잡습니다. 마케팅 설계자들은 당신이 이성적인 계산기를 두드리기 전에 '감성적 결제 버튼'을 누르게 유도하는 전장을 이미 구축해 놓은 셈입니다.
3. 락인 효과와 LTV: "한정판은 당신을 묶어두는 쇠사슬이다"
"겨울 스킨 하나 샀을 뿐인데?" 아니요, 당신은 게임사와 '장기 계약'을 맺은 겁니다.
매몰 비용의 함정: 한정판 스킨이 늘어날수록, 당신이 이 게임을 접었을 때 버려야 할 '자산'의 가치가 커집니다. 이것이 플랫폼 비즈니스의 핵심인 락인 효과(Lock-in Effect)입니다.
LTV(고객 생애 가치) 극대화: 게임사는 한 번의 큰 결제보다 당신이 매년 겨울마다 돌아와 지갑을 여는 지속성에 집중합니다. 한정판 스킨은 당신을 다음 겨울에도 다시 불러들일 강력한 '재방문 티켓'이 됩니다.
마케팅의 포로가 될 것인가, 설계자가 될 것인가?
크리스마스 한정판의 유혹은 강력합니다. 하지만 이를 '현질 유도'라고 비난만 하고 끝낸다면 당신은 영원히 소비자(Consumer)에 머물 것입니다.
진정한 비즈니스 러너라면 이 현상에서 '희소성을 창출하는 법'을 배워야 합니다.
당신의 역량에 어떻게 '한정판'의 가치를 부여할 것인가?
당신의 제안서에 어떻게 '지금 당장' 해야만 하는 시급성(Urgency)을 심을 것인가?
이번 크리스마스에는 스킨을 사며 자책하지 마십시오. 대신, 당신의 지갑을 열게 만든 그 정교한 메커니즘을 가슴 깊이 새기십시오. 소비의 쾌락은 짧지만, 설계의 통찰은 당신의 몸값을 바꾸는 자산이 될 것입니다.
메리 크리스마스! 그리고 즐거운 '전략적 소비' 되시길 바랍니다!
이상, 한정판 스킨 덕분에 마음만은 챌린저인 [게이머의 비즈니스 스터디로그]였습니다.
왜 닌텐도는 설명서를 버렸을까? 마리오 1-1 스테이지에 숨겨진 '억대 연봉 기획자'의 설계
안녕하세요! 연세대학교 경영학과 재학 중인, 어제도 새로 다운로드한 앱의 '5페이지짜리 튜토리얼'을 보자마자 삭제해버린 [게이머의 비즈니스 스터디로그]입니다. 여러분, 《슈퍼 마리오 브라
gaming-business.com
'게임 속 경제•경영 > 리그 오브 레전드' 카테고리의 다른 글
| 확정된 100원이냐, 불확실한 500원이냐 : '모루작'으로 배우는 승자의 투자법 (0) | 2026.01.08 |
|---|---|
| 패치 한 번에 1등 기업이 바뀌는 이유 : '롤(LoL)'의 메타 변화로 본 파괴적 혁신 (0) | 2025.12.31 |
| 님들이 랭크 돌릴수록 불행해지는 이유 : 멘탈 자본 무시한 '무지성 풀매수'의 최후 (0) | 2025.12.20 |
| 님들이 4-1 라운드에 거지인 이유 : 아인슈타인도 울고 갈 '복리'를 무시한 대가 (1) | 2025.12.16 |
| 나 5킬인데 왜 짐? : 당신이 'CS'를 무시하다가 골드로 강등당하는 이유 (0) | 2025.12.12 |