안녕하세요! 연세대학교 경영학과 재학 중인, 어제도 공들여 키운 성전사가 던전에서 미쳐버리는 바람에 모니터를 부술 뻔한 [게이머의 비즈니스 스터디로그]입니다.
여러분, 《다키스트 던전(Darkest Dungeon)》이라는 게임을 아시나요? 이 게임은 영웅을 데리고 던전을 탐험하는 RPG지만, 일반적인 게임과는 결정적으로 다른 점이 있습니다. 바로 '영웅의 정신 상태'가 칼보다 중요하다는 것이죠. 스트레스가 극에 달하면 영웅은 아군을 공격하거나, 거식증에 걸리거나, 심지어 심장마비로 즉사합니다.
우리는 현실에서도 똑같은 전장을 걷고 있습니다. 마감 기한, 매출 압박, 상사의 질책... 그런데 왜 경영학에서는 자본(Capital)과 설비(Equipment)의 감가상각은 철저히 계산하면서, 가장 중요한 '인적 자원의 멘탈 감가상각'은 무시할까요? 오늘, 지옥 같은 던전에서 살아남는 법을 통해 당신의 비즈니스 멘탈을 자산으로 관리하는 법을 공략해 드립니다.
영웅을 잃는 고통이 아이템을 얻는 기쁨보다 큰 이유
1. 손실 회피 편향(Loss Aversion): 왜 우리는 망해가는 사업을 못 접는가?
노벨 경제학상 수상자 대니얼 카너먼은 인간이 얻는 기쁨보다 잃는 고통을 약 2배 더 크게 느낀다는 '손실 회피 편향'을 증명했습니다.
다키스트 던전의 절망: 레벨 6까지 키운 영웅이 죽었을 때의 고통은, 전설급 장신구를 얻었을 때의 환희보다 훨씬 강렬합니다. 이 고통 때문에 유저는 무리하게 영웅을 살리려다 파티 전체를 전멸시키는 비합리적 의사결정을 내리곤 하죠.
현실 공략법: 기업이 이미 거액을 투자한 프로젝트(Sunk Cost)가 실패할 것을 알면서도 '손실을 확정 짓기 싫어서' 계속 돈을 쏟아붓는 것과 같습니다.
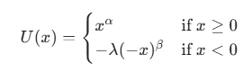
비즈니스 공식:

여기서 λ(손실 회피 계수)는 보통 2 이상입니다. 당신이 지금 '안 될 일'을 붙잡고 있다면, 그것은 비즈니스적 판단이 아니라 뇌의 생물학적 오류임을 인지해야 합니다.
2. 인적 자원 관리(HRM): 영웅은 '자산'인가, '소모품'인가?
이 게임의 가장 비정한 점은 마을 역마차에서 매주 '무료'로 새로운 영웅이 공급된다는 것입니다. 여기서 유저는 두 가지 경영 전략을 선택하게 됩니다.
고기 분쇄기(Meat Grinder) 전략: 비용이 드는 치료 대신, 스트레스 가득 찬 영웅을 해고하고 새 영웅을 뽑아 던전에 밀어 넣는 방식입니다. 극도의 단기적 효율성 중심 경영이죠.
핵심 인재 육성 전략: 막대한 자금을 들여 영웅의 트라우마를 치료하고 스킬을 업그레이드하여 '대체 불가능한 전문가'로 키우는 방식입니다.
결론: 하지만 다키스트 던전은 가르쳐줍니다. 아무리 잘 키운 영웅도 '멘탈 관리' 실패 한 번에 쓰레기통으로 갈 수 있다는 것을요. 기업 경영에서도 번아웃(Burnout)을 방치한 핵심 인재 이탈은 그 어떤 설비 고장보다 치명적인 무형 자산의 증발입니다.

당신의 '스트레스 게이지'는 몇 칸인가요?
비즈니스 전장에서 우리는 모두 다키스트 던전의 영웅들입니다.
기억하십시오. 당신의 인내심은 무한한 자원이 아닙니다. 그것은 매일 조금씩 깎여나가는 소모성 자산이며, 정기적인 유지보수(쉼, 보상)가 없으면 결국 '심장마비'를 일으켜 당신의 커리어를 멈추게 할 것입니다.
오늘의 즉시 실행 제안:
손절매(Stop-loss) 예약: 오늘 하고 있는 일 중, 손실 회피 심리 때문에 억지로 붙잡고 있는 일 하나를 과감히 버리십시오.
멘탈 리셋 세션: 이번 주말, 당신의 '스트레스 게이지'를 낮출 수 있는 물리적인 고립(디지털 디톡스 등) 시간을 단 3시간이라도 확보하십시오.
동료의 핑 확인: 팀원의 멘탈이 '붕괴(Affliction)' 상태라면, 업무를 더 주기보다 '수도원(휴식)'으로 보내는 것이 장기적인 ROI를 높이는 길입니다.
"가장 어두운 곳에서도 횃불을 켜는 것은 칼이 아니라, 꺾이지 않는 마음입니다."
이상, 오늘도 던전에서 멘탈 챙기려다 전공 서적을 편 [게이머의 비즈니스 스터디로그]였습니다.
공평한 분배가 조직을 망친다? : 와우(WoW)의 'DKP' 시스템으로 본 성과급 설계
안녕하세요! 연세대학교 경영학과 재학 중인, 어제도 회사(또는 공대)의 불공평한 보상 체계에 분노하며 '퇴사(또는 탈퇴)' 버튼을 만지작거렸을 여러분을 위한 [게이머의 비즈니스 스터디로그]
gaming-business.com
'게임 속 경제•경영' 카테고리의 다른 글
| "뛰어다니는 군인은 평생 가난하다" : BRM5로 배우는 자본 지출(CAPEX)의 마법 (1) | 2026.01.07 |
|---|---|
| 당신이 만년 실버인 진짜 이유: 데바데 발전기에 숨겨진 '억대 연봉'의 비밀 (0) | 2026.01.06 |
| 공평한 분배가 조직을 망친다? : 와우(WoW)의 'DKP' 시스템으로 본 성과급 설계 (0) | 2025.12.29 |
| 탈출하지 못하면 0원이다: '타르코프'로 배우는 정보 비대칭과 하이 리스크-하이 리턴의 경제학 (1) | 2025.12.28 |
| 총을 쏘기 전에 이미 승부는 결정났다 : 레식으로 배우는 '정보 비대칭'의 해소와 데이터 경영 (1) | 2025.12.25 |